تحديد حجم أدلة الإثبات في المراجعة | ECPA
أدلة الإثبات في المراجعة هى تلك الاسس التى تساعد مراجع الحسابات على تحويل الافتراضات الى ادلة مثبته وﺗﺻﺣﯾﺢ اﻻﻧﺣراﻓﺎت ﻓﻲ اﻟﻘواﺋم اﻟﻣﺎﻟﯾﺔ.
عامر إبراهيم - • المراجعة الخارجية والتدقيق

تحديد حجم أدلة الإثبات في المراجعة
Copyكثيرا ما نتساءل عن عمل المراجع وكيف أنه يستطيع إيجاد أدلة الإثبات في المراجعة؟، وما هي أنواع تلك الأدلة؟ وماهي الإجراءات والوسائل التي يتبعها المراجع للحصول على ما يكفيه من أدلة الإثبات؟.
ولأن هناك الكثير من الأسئلة التي تدور في أذهان المحاسبين وأصحاب الأعمال عنأدلة الإثباتفي المراجعة، سأحاول خلال المقال التالي جمع كل ما يهمك بشكل مبسط لجميع عملاءالمحاسبون القانونيون المصريون.
كما نعرف جميعاً أن المراجع مهمته الرئيسية هي القيام بفحص القوائم المالية وسجلاتها ودفاترها والتأكد من مدى سلامتها وخلوها من الأخطاء ومقدار صحتها ودلالتها على المركز المالي الحقيقي للعمل أو المؤسسة.
وليقوم المراجع بالتأكد من صحتها يحتاج إلى دلائل وقرائن تساعده للوصول إلى حقيقة المركز المالي، وهذه الأدلة والقرائن تسمى أدلة الإثبات في المراجعة.
ومن هنا ندرك أن المراجعة عملية لجمع أدلة وإثباتات يصل بها المراجع من استنتاجاته وافتراضاته التي وضعها طبقا لفكره وخبرته ودرايته السابقة ويتأكد من صدق وصحة القوائم المالية أو العكس
مفهوم أدلة الإثبات في المراجعة
Copyأدلة الإثباتبشكل عام يمكن تفسيرها بأنها حقائق يستخدمها الإنسان للفصل في موضوع مختلف عليه وتساعد الأدلة الإنسان لاتخاذ قرار الحكم والفصل واتخاذ القرار، أما بالنسبة للمحاسبة فلا تختلف مفهوم أدلة الإثبات كثيراً عن الواقع.
يمكننا تعريف مفهوم أدلة الإثبات بأنها الحقائق والمعلومات التي يستطيع المراجع الحصول عليها لتساعده بشكل كبير في اتخاذ قرار صحة أو عدم صحة القوائم المالية التي يقوم بمراجعتها.
وحتى لا يختلط الأمر عليك أيها القارئ الكريم فيمكنني تلخيص مفهوم أدلة الإثبات في معرفة نقطتين رئيسيتين وهما معرفة الفرق بين الأدلة والقرائن ومعرفة أنواع أدلة الإثبات
ما الفرق بين الأدلة والقرائن؟
Copyأدلة الإثبات في المراجعة:هي أساليب وأسس تمكن المراجع من تحويل افتراضاته واعتقاداته الغير مؤكدة إلى حقائق وإثباتات مؤكدة وحقيقية.
القرينة عند المراجع:تعني استخدامه لأمور ثابته وحقيقية للوصول إلى رأي مناسب حول مسألة معينة مختلف فيها، ويمكن للقرينة إذا تم التأكد من صحتها أن تتحول إلى دليل من أدلة الإثبات في المراجعة
أنواع أدلة الإثبات في المراجعة
Copyيمكننا أن نقسم أدلة الإثبات إلى نوعين رئيسيين وهما:
- أدلة ثابتة قاطعة وهي التي تم التأكد منها وتؤكد صحة افتراض محدد.
- أدلة ثانوية غير مؤكدة ولا يمكن الاعتماد للتأكد من صحة افتراض محدد وهي التي تعتبر قرينة.
وكما رأينا متابعي موقعنا “المحاسبون القانونيون المصريون” هناك تشابه كبير بين القرينة والدليل ولكن المراجع يستطيع التفرقة بينهما على حسب الأهمية النسبية التي يعطيها للقرينة، ولكن ما هي أنواع أدلة الإثبات التي يمكن للمراجع الاستناد إليها؟
- موضوع المراجعة إذا كان موجوداً على أرض الواقع ويمكن للمراجع فحصه مادياً.
- المستندات والدفاتر التي تؤيد المسجل بالقوائم، وهذه المستندات يمكن أن يكون مصدرها داخل أو خارج المنشأة.
- الخطابات والإقرارات التي يستطيع المراجع الحصول عليها بنفسه أو بواسطة مساعده.
- المستندات والشهادات التي تقدمها أدارة المنشأة للمراجع.
- الترابط بين الحسابات والبيانات التي يفحصها المراجع.
- الرقابة الداخلية عالية المستوى.
- العمليات التي تتم أثناء عملية الفحص.
- العمليات الحسابية التي ينفذها المراجع بنفسه
صلاحية أدلة الإثبات في المراجعة
Copyهناك مجموعة من النقاط يجب أن تتوفر في دليل الإثبات حتى يمكن للمراجع أن يعتبره دليلا قوياً وله صلاحية ويأخذه في الحسبان قبل وضع تقرير المراجعة النهائي، ومن تلك الصلاحيات:
أن يساعد المراجع على تحديد مدى صحة وصدق القوائم المالية.
يجب الاستعانة بعدة مصادر للأدلة وعدم الارتكاز على نوع واحد.
المراجع هو المسئول الأول عن جمع أدلة الإثبات.
المراجع مسئول عن مراجعة مصدر أدلة الإثبات والتأكد من سلامتها تماماً قبل الاعتماد عليها.
أدلة الإثبات يظهر أثرها في تقرير المراجعة.
في حال الاعتماد على أدلة خاطئة وغير موثقة سينتج عنها اتخاذ قرارات خاطئة وأزمة حقيقية للمنشأة.
خصائص أدلة الإثبات في المراجعة
Copyولكي نعتبر صلاحية الدليل قوية بما يكفي يجب أن يتوفر بالدليل أكثر من خاصية مثل:
صلاحية وسلامة الحصول على الدليل
Copyالمراجع يحتاج لفحص العديد من القوائم كل قائمة منها تحتاج إلى أدلة إثبات وكل دليل إثبات له وسائل للحصول عليه، ويجب قبل الوثوق بالدليل التأكد من سلامة الوسيلة التي تم الحصول بها على الدليل. مثلا الجرد الفعلي له قواعد يجب إتباعها للحصول على أدلة، في حال عدم الالتزام بها فإن صحة الدليل تبطل
طبيعة ونوعية الدليل
Copyالمراجع يجب أن يعتمد على مصدر دليل موثق مثل الاطلاع على الأصول والتأكد من الوجود الفعلي لها، ويراعي عدم الاعتماد على الآراء أو الأقاويل
قوة الثقة المتوفرة في المصدر المقدم للدليل
Copyعنصر الثقة من أهم العناصر التي يعتمد عليها المراجع فمثلا حصوله على تقارير خارجية عن المنشأة من مصدر موثوق به أفضل من تلك التي يحصل عليها من داخلها
الطريقة التي سيحصل بها المراجع على الدليل
Copyيجب أن يعتمد المراجع على نفسه أو أحد مساعديه ليحصل على الدليل، ولا يعتمد على أفراد آخرين بالأخص الموجودين داخل أدارة المنشأة.
ما قوة العلاقة بين الدليل وموضوع الفحص؟
Copyبالطبع كلما زادت العلاقة بين الدليل وموضوع المراجعة كلما كانت حجة الدليل أقوى وأفضل.
هل توقيت حدوث الدليل مناسب لمسألة الفحص أم لا؟
Copyبعض الأدلة تفقد قوتها مع تغير الوقت فمثلا لا يصلح اتخاذ النقدية الموجودة كدليل إثبات.
العوامل المؤثرة على أدلة الإثبات في المراجعة
Copyليتخذ المراجع قراره عليه أن يجمع أكبر قدر من الأدلة ولكن هناك عدة عوامل تؤثر على عدد الأدلة بالزيادة والنقص ومنها:
احتمالية التزوير والغش
في حال شك المراجع في وجود غش أو تزوير في القوائم، يحتاج إلى عدد كبير من الأدلة والبراهين المحاسبية لإثبات وقوع الغش، ولعل أكبر بند تتم فيه السرقة والغش هو بند النقدية، لذا يحرص المراجع المحترف على مراجعتها أكثر من مرة.
الوقت والجهد
Copyيستهلك الوصول للأدلة الكثير من الوقت والجهد، لذا فإن المراجع يجب أن يكون ذو قرار حكيم ويدرس الفائدة العائدة من أدلة الإثبات ويقارنها بالتكلفة وهل تستحق العناء أم لا.يستهلك الوصول للأدلة الكثير من الوقت والجهد، لذا فإن المراجع يجب أن يكون ذو قرار حكيم ويدرس الفائدة العائدة من أدلة الإثبات ويقارنها بالتكلفة وهل تستحق العناء أم لا.يستهلك الوصول للأدلة الكثير من الوقت والجهد، لذا فإن المراجع يجب أن يكون ذو قرار حكيم ويدرس الفائدة العائدة من أدلة الإثبات ويقارنها بالتكلفة وهل تستحق العناء أم لا.
المراقبة الداخلية
Copyنظام المراقبة الداخلية الموجود في المنشآت الكبرى يعد من أهم العوامل التي تساعد المراجع، فكلما كانت المراقبة ا لداخلية أفضل وأجود كلما قلت كمية الأدلة التي يطلبها المراجع والعكس.
الأهمية النسبية
Copyويقصد بالأهمية النسبية كمية الإغفال أو التحريف التي تحدث في البيانات المحاسبية داخل القوائم المالية مما قد يؤدى الى التأثير على حكم الشخص الذي يعتمد على هذه البيانات بطريقة سليمة عند اتخاذ قراراته.
وبشكل أبسط فإن الأهمية النسبية هي القيمة التي إذا حدث بها خطأ أو أي تحريف بما يزيد أو يقل عنها يؤدى ذلك الى تغيير القوائم المالية وظهورها بشكل مضلل للمستخدم، وبالطبع لها أكبر تأثير على القرارات التي يتخذها المراجع.
ويقوم المراجع احتساب قيمتها التقديرية بقيمة تتراوح بين % إلى 1.5% من قيمة أصول الشركة أو إيراداتها أيهما أكبر.
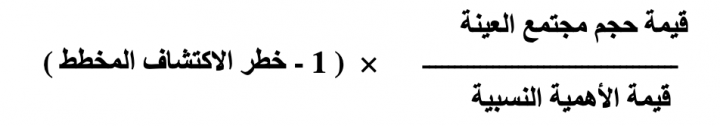
ويمكن احتسابها حجم أدلة الإثبات بالمعادلة التالية:
كيفية معرفة حجم أدلة الإثبات في المراجعة
Copyمعادلة المخاطر وتعني هذه المعادلة درجة الاطمئنان التي يشعر بها المراجع تجاه الخطر المحتمل أن يحتويه ملف المراجعة، وبالتالي سيتم معرفة حجم المجهود والتكلفة التي يبذلها المراجع للفصل في صحة القوائم المالية.
ويمكن التعبير عنها بطريقة حسابية وهي:
تأثير المخاطر والأهمية النسبية على حجم العينة المستندية
لنفهم أكثر سنحاول في موقعنا (المحاسبون القانونيون المصريون) تبسيط الموضوع عن طريق استعراض مثال كالتالي:
قام أحد المراجعين بتحديد مخاطر المراجعة وبعد دراسته للعوامل التي تؤثر في كل خطر قام بتقدير النتيجة التالية:
الخطر الطبيعي يساوي 20% حيث يتراوح بين 10% إلى 100%.
حطر الرقابة يساوي 80% حيث يتراوح بين 10% و100%.
أما الخطر الممكن فكان قبوله 4% وهو يتراوح بين 2% إلى 5%.
بافتراض أن القوائم المالية المراد مراجعتها ستتضمن البيانات الآتية:
إجمالي أصول الشركة = 3 مليون جنيه
إجمالي الإيرادات = 5 مليون جنيه
ونظرا لأن الأهمية النسبية يجب أن تتراوح ما بين 0.5 % إلى 1.5%. (طبقا لرؤية المراجع من خلال دراسته لملف المراجعة)
بناءً عليه سيتم حساب الأهمية النسبية كالتالي:
الأهمية النسبية لأصول الشركة = 3000.000 × 1% = 30000 جنيه
الأهمية النسبية لإيرادات الشركة = 5000.000 × 1% = 50000 جنيه
لتصبح الأهمية النسبية لهذه القوائم = 50,000 جنيه
وبفرض المراجع قام بالبدء في مراجعة بند الإيرادات حسب البيانات التالية:
المستندات تبلغ 200 فاتورة وكانت القيمة المالية لإجمالي الإيرادات هي 5 ملايين جنيه.
تم استبعاد 5 فواتير كانت القيمة مليون جنيه تحت بند فواتير ذات طبيعة خاصة.
أما 195 فاتورة فقد كانت القيمة 4 ملايين وهو المتبقي من عدد الفواتير ويمثل مجتمع العينة.
لنستخلص من ذلك القانون التالي:
عمل المراجع يحتاج للكثير من الخبرة والدراسة والمعرفة الكاملة بالجوانب الأساسية التي تساعده لإنجاز عمله وأولهاأدلة الإثبات في المراجعةوهو كان موضوع مقالنا اليوم، إذا كنت تحتاج لفهم أي موضوع يتعلق بالمحاسبة فلا تتردد في التواصل معنا ومشاركتنا بها في التعليقات.. وإلى لقاء قريب.